본문 바로가기
전공 공부 중!/선형대수학

2) 유클리드 공간

by 김evelyn 2023. 10. 6.

2.1) 벡터의 성질

 

($R^2$는 평면이고 $R^3$는 3차원 공간이다.)

벡터의 합과 스칼라곱에 관한 성질

(a) u + v = v + u (합의 교환법칙)
(b) (u + v) + w = u + ( v + w) (합의 결합법칙)
(c) u + O = u를 만족하는 영벡터 O가 존재합니다. (합에 대한 항등원)
(d) 임의의 벡터 u에 대하여, u + (-u) = O를 만족하는 벡터 -u가 존재합니다. (합에 대한 역원)
(e) $k$(u + v) = $k$u + $k$v (분배법칙)
(f) ($k$ + $c$)u = $k$u + $k$u (분배법칙)
(g) ($k$$c$)u = $k$($c$u) (곱의 결합법칙)
(h) 임의의 벡터 u에 대하여 1u = u (곱에 대한 항등원)

$R^n$의 벡터에 대한 다른 성질들을 증명할 때 위의 성질들을 사용할 수 있다.

 

합에 대한 역원의 유일성
'벡터의 합과 스칼라곱에 관한 성질'에서 $R^n$의 벡터 u에 대하여, u + (-u) = O를 만족하는 벡터 -u는 유일하다.
스칼라곱의 성질
$R^n$의 벡터 u에 대하여, (-1)u = -u이다.

 

 

2.1.1) 내적 복습하기

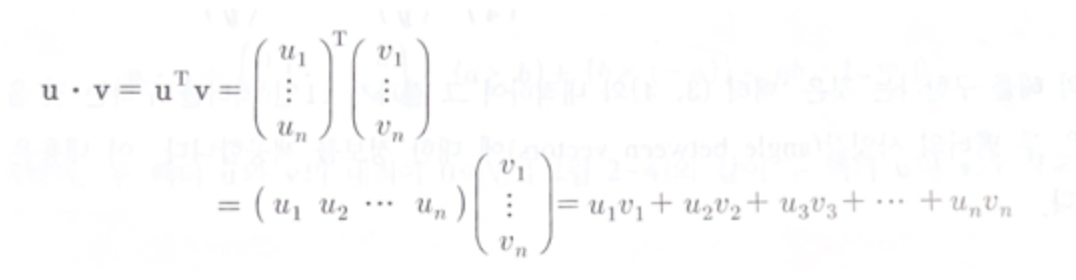
벡터 u와 v의 점곱/내적

벡터 u와 v의 내적은 벡터 u의 전치와 열벡터 v의 행렬 곱과 같다. 

 

$R^n$의 두 벡터의 내적 결과는 실수이다. 즉, 두 벡터의 내적 연산을 수행하면 그 결과는 벡터가 아니라 스칼라이다.

내적, 즉 이 스칼라값은 두 벡터의 사잇값(angle between vectors)에 대한 정보를 제공한다. 

 

'두 벡터 u와 v가 수직이다'는 '두 벡터 u와 v의 내적이 0이다.'와 동치이다. 

즉, '$R^n$에서 두 벡터 u와 v가 직교(orthogonal) 또는 수직(perpendicular)이다'는 다음 식과 동치이다.

 

두 벡터 u와 v가 직교/수직이다

 

 

2.1.2) 내적의 성질

내적의 성질

$R^n$의 벡터 u, v, w와 실수(또는 스칼라) $k$에 대하여 다음이 성립한다.
(a) (u + v) • w = u • w + v • w (분배법칙)
(b) u • v = v • u (교환법칙)
(c) ($k$u) • v = $k$(u • v) = (u • $k$v)
(d) u • u >= 0이고 u • u = 0 <=> u = O (이때 u • u는 벡터 u의 크기의 제곱

 

 

2.1.3) 벡터의 노름 또는 크기

 

벡터의 노름이란 무엇일까?

 

$R^n$의 벡터 u에 대하여 u의 노름(norm) 또는 크기(length)를 ||u||로 표기한다. 벡터의 노름은 피타고라스의 정리를 사용해 정의할 수 있다. 

피타고라스의 정리(Pythagoras' theorem)
벡터의 크기 (노름)
$R^n$의 벡터 u에 대하여, 다음이 성립한다. 
노름은 항상 양의 수이다

위와 같은 ㅊu||유클리드 노름(Euclidean norm)이라고 한다. 

 

거리함수(distance function)란 무엇일까?

거리함수 d(u,v)는 $R^n$에서 벡터 $u = (u_1 u_2 ... u_n)^T$ 와 $v = (v_1 v_2 ... v_n)^T$의 거리이며 다음과 같이 정리한다.

 

d(u, v) = ||u - v||

 

 

2.1.4) 벡터 노름의 성질

$R^n$의 벡터 u와 실수 $k$에 대하여 다음이 성립한다.

(a) ||u|| >= 0이고 ||u|| = 0 <=> u = O
(b) ||$k$u|| = |$k$| ||u||

 

 

2.2) 벡터의 또 다른 성질

 

2.2.1) 두 벡터의 사잇각

 

(a) 두 벡터 u와 v가 같은 방향을 가리킨다면, 두 벡터의 내적은 양수이다. 즉, 두 벡터는 동일한 방향으로 작용하고(밀거나 당김) 있다.

(b) 두 벡터 u와 v가 수직이라면, cos90º = 0 이므로 두 벡터의 내적은 0이다. 

(c) 두 벡터 u와 v가 반대 방향을 가리킨다면, 두 벡터의 내적은 음수이다. 

 

 

2.2.2) 부등식

코시-슈바르츠 부등식(Cauchy-Schwarz inequality)
$R^n$의 두 벡터 u, v에 대해 |u • v| <= ||u|| ||v||이다. (내적의 절대값 <= u, v 각각의 노름의 곱)
민코프스키 (삼각)부등식(Minkowski (triangular) inequality)
$R^n$의 두 벡터 u, v에 대하여, ||u + v|| <= ||u|| + ||v||이다.

 

 

2.2.3) 단위벡터

 

단위벡터란 무엇일까?

크기가 1인 벡터를 단위벡터(unit vector)라고 한다.

 

주어진 벡터 u의 방향으로 단위벡터를 찾는 과정을 정규화(normalizing)라고 한다. 

벡터 u 방향의 단위벡터는 일반적으로 크기가 1인 벡터를 의미하는 û(u hat으로 읽음)으로 표기한다.

 

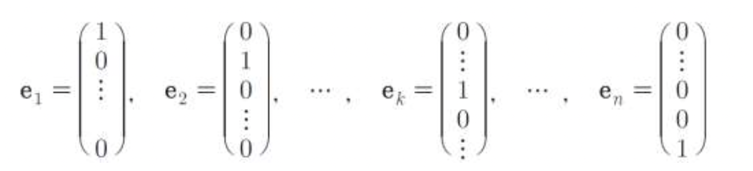
표준단위벡터란 무엇일까?

다음과 같은 벡터들을 표준단위벡터(standard unit vector)라고 한다.

임의의 n차원 벡터공간 $R^n$에서 표준단위벡터는 다음과 같이 정의한다.

즉, 벡터 $e_k$의 k번째 성분이 1이고, 나머지 성분은 모두 0이다. 이것들은 서로 수직인 단위벡터(perpendicular unit vector)의 예로서, 정규직교벡터(orthonormal vector)라고 한다.

정규직교벡터의 성질
1. 모든 벡터는 서로 직교한다(서로 수직).
2. 모든 벡터는 정규화된다. 즉, 모든 벡터의 크기(노름)는 1이다(단위벡터).

 

 

2.3) 일차독립

 

 

2.3.1) 일차독립

 

일차독립이란 무엇일까?

 

표준단위벡터 $e_1, e_2, ..., e_n$ 중 임의의 벡터 $e_k$를 나머지 벡터들의 일차결합으로 나타낼 수 없으면 일차독립이라고 한다.

일차독립
$R^n$의 벡터  $v_1, v_2, ..., v_n$은 일차독립(linearly independent)이다.
<=> 다음을 만족하는 유일한 실수 스칼라 $k_1, k_2, ..., k_n$이 존재한다.

 

 

2.3.2) 일차종속

$R^n$의 벡터  $v_1, v_2, ..., v_n$은 일차종속(linearly dependent)이다.
<=> 적어도 하나는 0이 아닌 실수 스칼라 $k_1, k_2, ..., k_n$에 대하여 다음이 성립한다.

 

 

2.3.3) 일차종속의 성질

영벡터를 포함한 경우의 일차종속
$R^n$의 벡터 $v_1, v_2, ..., v_n$ 중 적어도 어느 한 벡터($v_j$)가 영벡터이면, 벡터 $v_1, v_2, ..., v_n$은 일차종속이다.
일차종속의 성질
$R^n$에서 $v_1, v_2, ..., v_m$이 서로 다른 벡터라고 하자. n < m이면(n차원 벡터공간에서 n이 벡터 개수 m보다 작으면), 벡터 $v_1, v_2, ..., v_m$은 일차종속이다.

 

 

2.3.4) 일차독립과 일차종속

일차독립과 일차종속 판별

집합 S = {$v_1, v_2, ..., v_n$}은 n차원 벡터공간 $R^n$의 벡터 n개를 원소로 가진다고 한다. 또한 행렬 A는 벡터 $v_1, v_2, ..., v_n$을 열로 하는 다음과 같은 n x n 행렬이고 하자.

A = ($v_1  v_2 ... v_n$)

그러면 다음이 성립한다.

벡터 $v_1, v_2, ..., v_n$은 일차독립이다. <=> 행렬 A는 가역행렬이다.
동치 명제
행렬 A가 n x n 행렬일 때, 다음 여섯 명제는 서로 동치이다.

(a) 행렬 A는 가역행렬이다. 
(b) 연립일차방정식 Ax = O는 오직 자명한 해 x = O만 가진다.
(c) 행렬 A의 기약행 사다리꼴 행렬은 항등행렬 $I$이다.
(d) 행렬 A는 기본행렬의 곱이다.
(e) 연립일차방정식 Ax = b의 해는 유일하다.
(f) 행렬 A의 열벡터는 일차독립이다.

 

 

2.4) 기저와 생성집합

 

 

2.4.1) 생성집합

생성
n차원 벡터공간 $R^n$에서 집합 S = {$v_1, v_2, ..., v_n$}에 있는 n개의 벡터들을 생각해보자. $R^n$의 모든 벡터를 $v_1, v_2, ..., v_n$들의 일차결합으로 만들 수 있다면, 이 벡터들은 n차원 벡터공간 $R^n$을 생성한다(span)고 한다.

집합 S = {$v_1, v_2, ..., v_n$}는 생성집합(spanning set)이라고 한다. 그리고 '집합 S가 n차원 벡터공간을 생성한다' 또는 '집합 S가 $R^n$을 생성한다'고 말한다.

 

 

2.4.2) 기저

기저
n차원 벡터공간 $R^n$에서 n개의 벡터 $v_1, v_2, ..., v_n$를 생각해보자

벡터 $v_1, v_2, ..., v_n$은 $R^n$의 기저(basis)를 형성한다.
<=> (i) 벡터 $v_1, v_2, ..., v_n$은 $R^n$을 생성한다.
        (ii) 벡터 $v_1, v_2, ..., v_n$은 일차독립이다.

벡터 $v_1, v_2, ..., v_n$을 집합으로 구성하여 B = {$v_1, v_2, ..., v_n$}과 같이 쓸 수 있다. 이들은 $R^n$을 생성하는 독립적인 벡터들로 기저벡터(basis vector)라고 한다. $R^n$의 모든 벡터는 기저벡터를 통해 만들 수 있다.

 

 

2.4.3) 기저의 성질

일차독립과 기저
$R^n$에서 n개의 일차독립인 벡터들은 $R^n$의 기저를 형성한다.
생성과 기저
$R^n$을 생성하는 n개의 벡터는 $R^n$의 기저를 형성한다.
벡터의 일차결합 표현의 유일성
벡터 {$v_1, v_2, ..., v_n$}이 $R^n$의 모든 벡터를 이 기저벡터들의 일차결합으로 나타낼 수 있고, 그 표현은 유일하다.

 

이는 어떤 벡터를 기저벡터의 일차결합으로 표현하는 방법은 오직 한 가지라는 의미이다.

 

일차독립의 성질
$R^n$에서 벡터 m개의 집합 T = {$w_1, w_2, ..., w_m$}이 일차독립이면, m <= n이다.

 

(m>n이면 일차독립이 아니라 일차종속)

위의 정리는 $R^n$에서 일차독립인 벡터들은 최대 n개라는 의미이다. (예. $R^4$에서 일차독립인 벡터들은 4개 이하라는 의미)

 

기저벡터의 개수
$R^n$의 모든 기저는 정확하게 n개의 벡터로 이루어져 있다.
직교벡터와 기저
n개의 직교벡터는 $R^n$의 기저를 형성한다.

 

 

 

 

 

 

참고:

Kuldeep Singh,  걸음씩 알아가는 선형대수학, 한빛수학교재연구소, 한빛아카데미(2023)

'전공 공부 중! > 선형대수학' 카테고리의 다른 글

3-1) 일반 벡터공간  (1) 2023.10.13
1-2) 일차방정식과 행렬  (1) 2023.09.28
1-1) 일차방정식과 행렬  (0) 2023.09.17